Chiều 26/7, Đại học Kinh tế TP.HCM (UEH) chính thức công bố khung quy đổi điểm trúng tuyển giữa các phương thức xét tuyển năm 2025. Điểm học bạ, thi đánh giá năng lực ĐHQG TP.HCM và V‑SAT đều được chuyển đổi sang thang điểm thi tốt nghiệp THPT tương đương, nhằm đảm bảo bình đẳng và minh bạch khi so sánh giữa các phương thức.

Bảng quy đổi điểm trúng tuyển tương đương UEH
1. Học bạ THPT → điểm thi tốt nghiệp THPT
Khung quy đổi điểm trúng tuyển tổ hợp môn học THPT về điểm trúng tuyển theo điểm thi tốt nghiệp THPT (mã trường KSA và KSV)
| TT | Điểm tổ hợp môn học THPT
(a < x <= b) |
Tổ hợp môn thi tốt nghiệp THPT (c < y <= d) |
| Khoảng 1 | 29.00 < x <= 30.00 | 25.81 < y <= 30.00 |
| Khoảng 2 | 28.73 < x <= 29.00 | 25.57 < y <= 25.81 |
| Khoảng 3 | 28.30 < x <= 28.73 | 25.19 < y <= 25.57 |
| Khoảng 4 | 27.70 < x <= 28.30 | 24.65 < y <= 25.19 |
| Khoảng 5 | 27.19 < x <= 27.70 | 24.20 < y <= 24.65 |
| Khoảng 6 | 26.71 < x <= 27.19 | 23.77 < y <= 24.20 |
| Khoảng 7 | 26.26 < x <= 26.71 | 23.37 < y <= 23.77 |
| Khoảng 8 | 25.77 < x <= 26.26 | 22.94 < y <= 23.37 |
| Khoảng 9 | 25.23 < x <= 25.77 | 22.45 < y <= 22.94 |
| Khoảng 10 | 24.60 < x <= 25.23 | 21.89 < y <= 22.45 |
| Khoảng 11 | 23.64 < x <= 24.60 | 21.04 < y <= 21.89 |
| Khoảng 12 | 19.50 < x <= 23.64 | 16.00 < y <= 21.04 |
2. ĐGNL ĐHQG TP.HCM → điểm thi tốt nghiệp THPT
Khung quy đổi điểm trúng tuyển theo bài thi đánh giá năng lực Đại học Quốc gia TP.HCM về điểm trúng tuyển theo điểm thi tốt nghiệp THPT (mã trường KSA và KSV)
| TT | Điểm bài thi đánh giá năng lực Đại học Quốc gia TP.HCM (a < x <=b) |
Tổ hợp môn thi tốt nghiệp THPT
(c < y <=d) |
| Khoảng 1 | 969 < x <= 1200 | 26.50 < y <= 30.00 |
| Khoảng 2 | 945 < x <= 969 | 25.25 < y <= 26.50 |
| Khoảng 3 | 903 < x <= 945 | 23.50 < y <= 25.25 |
| Khoảng 4 | 841 < x <= 903 | 21.77 < y <= 23.50 |
| Khoảng 5 | 786 < x <= 841 | 20.80 < y <= 21.77 |
| Khoảng 6 | 735 < x <= 786 | 20.05 < y <= 20.80 |
| Khoảng 7 | 689 < x <= 735 | 19.35 < y <= 20.05 |
| Khoảng 8 | 643 < x <= 689 | 18.70 < y <= 19.35 |
| Khoảng 9 | 596 < x <= 643 | 18.05 < y <= 18.70 |
| Khoảng 10 | 549 < x <= 596 | 17.15 < y <= 18.05 |
| Khoảng 11 | 491 < x <= 549 | 16.05 < y <= 17.15 |
| Khoảng 12 | 380 < x <= 491 | 13.00 < y <= 16.05 |
3. V‑SAT (Đại học Cần Thơ) → điểm thi THPT
Khung quy đổi điểm trúng tuyển theo bài thi V-SAT về điểm trúng tuyển theo điểm thi tốt nghiệp THPT (mã trường KSV)
| TT | Điểm bài thi đánh giá đầu vào đại học V-SAT
(a < x <=b) |
Tổ hợp môn thi tốt nghiệp THPT
c < y <=d |
| Khoảng 1 | 392.50 < x <= 450.00 | 25.50 < y <= 30.00 |
| Khoảng 2 | 383.50 < x <= 392.50 | 24.60 < y <= 25.50 |
| Khoảng 3 | 367.00 < x <= 383.50 | 23.75 < y <= 24.60 |
| Khoảng 4 | 346.00 < x <= 367.00 | 22.25 < y <= 23.75 |
| Khoảng 5 | 328.50 < x <= 346.00 | 21.10 < y <= 22.25 |
| Khoảng 6 | 313.50 < x <= 328.50 | 20.25 < y <= 21.10 |
| Khoảng 7 | 298.00 < x <= 313.50 | 19.50 < y <= 20.25 |
| Khoảng 8 | 282.50 < x <= 298.00 | 18.60 < y <= 19.50 |
| Khoảng 9 | 265.50 < x <= 282.50 | 17.75 < y <= 18.60 |
| Khoảng 10 | 244.50 < x <= 265.50 | 16.75 < y <= 17.75 |
| Khoảng 11 | 218.00 < x <= 244.50 | 15.25 < y <= 16.75 |
| Khoảng 12 | 31.50 < x <= 218.00 | 6.25 < y <= 15.25 |
Ví dụ thực tế
Một thí sinh đạt 950 điểm ĐGNL (thuộc khoảng 945–969) có điểm quy đổi tương đương thi tốt nghiệp THPT trong khoảng 25,25–26,50, ví dụ cụ thể là 25,51 điểm. Từ đó UEH sẽ cộng thêm điểm ưu tiên, điểm chứng chỉ để xác định điểm xét tuyển cuối cùng.
Hướng dẫn thí sinh quy đổi điểm giữa các phương thức
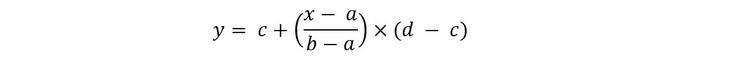
Áp dụng công thức nội suy tuyến tính và Bảng quy đổi điểm theo Bảng 1, Bảng 2, hoặc Bảng 3 tương đương với điểm thi tốt nghiệp THPT năm 2025:
Trong đó:
– x: Là điểm của thí sinh (điểm tổ hợp môn học THPT, điểm thi đánh giá năng lực Đại học Quốc gia TP.HCM hay V-SAT);
– a, b: Là hai điểm mốc xác định khoảng điểm của thí sinh (a < x ≤ b);
– y: Là điểm quy đổi tương đương điểm tốt nghiệp THPT 2025;
– c, d: Là hai điểm mốc xác định khoảng điểm tốt nghiệp THPT tương ứng (c < y ≤ d).
Ví dụ: Học sinh có điểm thi đánh giá năng lực Đại học Quốc gia TP.HCM là 950.00 điểm (Khoảng 2 của Bảng 2) thì điểm quy đổi được tính như sau:
x = 950; a= 945; b= 969; c = 25.25; d= 26.50
Áp dụng công thức nội suy tuyến tính, điểm thi đánh giá năng lực Đại học Quốc gia TP.HCM sau khi quy đổi sang điểm thi tốt nghiệp THPT được tính theo công thức:
Như vậy, kết quả quy đổi điểm tương đương theo tổ hợp môn thi tốt nghiệp THPT 2025 của thí sinh là: 25.51 điểm.
Tổng kết & Lời khuyên cho phụ huynh – học sinh
- Luôn quy đổi điểm trước khi tính nguyện vọng
Hãy sử dụng bảng để tính điểm tương đương, tránh so sánh trực tiếp điểm học bạ, ĐGNL, V‑SAT với điểm thi — vì có lệch hệ số từ 2,6 đến 3,5 điểm. - Chọn phương thức được quy đổi có lợi nhất
Học sinh có học bạ cao hoặc ĐGNL/V‑SAT tốt nên ưu tiên phương thức đó để điểm quy đổi nhỉnh hơn, tăng cơ hội cạnh tranh. - Cộng điểm ưu tiên sau khi quy đổi
Điểm ưu tiên khu vực, chứng chỉ quốc tế… được tính vào tổng sau khi quy đổi sang thang 30 — nên tận dụng tối đa ưu đãi nếu đủ điều kiện. - Xếp nguyện vọng theo thứ tự hi vọng – an toàn – dự phòng
Ưu tiên ngành/hiện tùy trường khi điểm quy đổi cao; ngành/nguyện vọng dự phòng có thể dùng Bộ điểm THPT hoặc phương thức khác phù hợp. - Theo sát lịch xét tuyển UEH để không bỏ lỡ
Hoàn tất đăng ký và nhập nguyện vọng phù hợp trước 17h ngày 28/7; theo dõi điểm chuẩn công bố trước ngày 22/8 — chủ động điều chỉnh nếu cần.
Kết luận, khung quy đổi điểm trúng tuyển của Đại học Kinh tế TP.HCM năm 2025 đã làm rõ mức chênh lệch đáng kể giữa từng phương thức xét tuyển. Phụ huynh và học sinh cần chủ động tính toán điểm tương đương, chọn lộ trình xét tuyển hợp lý và linh hoạt để tối ưu hóa cơ hội trúng tuyển năm nay.








