Trường Đại học Sân khấu – Điện ảnh Hà Nội (tên tiếng Anh: Hanoi Academy of Theatre and Cinema, mã SKD) là trường đại học công lập trực thuộc Bộ Văn hóa, Thể thao và Du lịch, được thành lập từ năm 1980 trên nền tảng các trường nghệ thuật tiền thân. Trường chuyên đào tạo các ngành năng khiếu như Diễn viên, Đạo diễn, Quay phim, Nhiếp ảnh, Thiết kế mỹ thuật – sân khấu & điện ảnh, Múa. Môi trường đào tạo nghệ thuật chuyên nghiệp kết hợp thi năng khiếu và học thuật, SKDA là lựa chọn hàng đầu cho học sinh đam mê sân khấu, điện ảnh và truyền hình tại Hà Nội và toàn quốc.

Thông tin chung
Thông tin tuyển sinh Đại Học Sân Khấu Điện Ảnh Hà Nội (SKDA) năm 2025
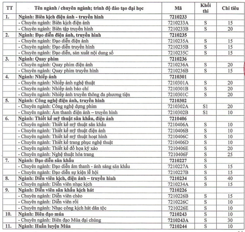
Năm 2025, Trường Đại học Sân khấu Điện ảnh Hà Nội tuyển sinh theo phương thức kết hợp kết quả học tập cấp THPT với điểm thi năng khiếu để xét tuyển, tuyển sinh đào tạo 11 ngành cụ thể như sau:

Phương thức xét tuyển năm 2025
Kết hợp học bạ với thi năng khiếu
Quy chế
Điểm xét tuyển là điểm năng khiếu tính hệ số 2 cộng với điểm học bạ THPT môn ngữ văn hoặc toán. Điều kiện tối thiểu ở hai môn này là từ 5 trở lên.
Riêng thí sinh dự thi ngành diễn viên kịch, điện ảnh – truyền hình cần có chiều cao tối thiểu 1,55m với nữ và 1,65m với nam, không nói ngọng, nói lắp và không có khuyết tật hình thể.
Thời gian xét tuyển
Trường nhận hồ sơ dự thi từ ngày 19/5 đến hết ngày 6/6.
Danh sách ngành đào tạo theo phương thức Điểm xét tuyển kết hợp






