Sau khi kết quả thi tốt nghiệp THPT được công bố, Học viện Công nghệ bưu chính viễn thông cũng chính thức thông báo ngưỡng điểm nhận hồ sơ đợt 1 xét tuyển đại học dựa trên kết quả tốt nghiệp THPT.

Học viện Công nghệ Bưu chính Viễn thông thông báo Ngưỡng đảm bảo chất lượng đầu vào trình độ đại học hệ chính quy đợt 1 năm 2024 theo phương thức xét tuyển dựa vào kết quả thi tốt nghiệp THPT năm 2024 của Học viện như sau:
Cơ sở đào tạo phía Bắc (BVH): Từ 22,00 điểm trở lên (Áp dụng cho 03 tổ hợp xét tuyển A00, A01, D01)
Cơ sở đào tạo phía Nam (BVS): Từ 18,00 điểm trở lên (Áp dụng cho 03 tổ hợp xét tuyển A00, A01, D01)
(Ngưỡng đảm bảo chất lượng đầu vào trên đã bao gồm điểm ưu tiên đối tượng và ưu tiên khu vực theo quy chế tuyển sinh của Bộ Giáo dục và Đào tạo)
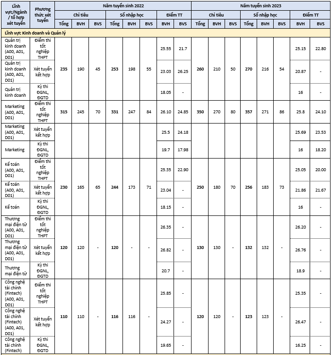
Qúy đọc giả có thể tham khảo thêm điểm chuẩn của Học viện Công nghệ bưu chính viễn thông những năm gần đây:







